خبر خوب/ افزایش سطح پوشش برفی در حوضههای آبریز کشور
سطح پوشش برفی کشور یکی از شاخصهای تأمین آب مورد نیاز است و هرچه این سطح افزایشی باشد نشان از بهترشدن وضعیت تأمین آب است.
تازهترین گزارش مرکز ملی اقلیم و مدیریت بحران خشکسالی نشان از آن دارد که سطح پوشش برفی همه حوضههای آبریز اصلی در هفته سوم دیماه امسال رشد قابلتوجهی داشته است.
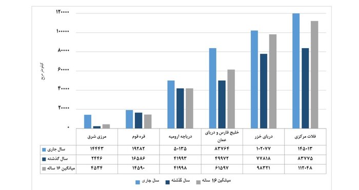
حوضه آبریزفلات مرکزی از بین سایرحوضههای آبریزاصلی بالاترین میزان رشد سطح پوشش برفی را دارد.
براین اساس سطح پوشش برفی حوضه آبریز فلات مرکزی از ۱۵ تا ۲۱ دیماه درحالی به ۱۴۵ هزار و ۱۳ رسیده که در مدت مشابه پارسال این رقم ۸۳ هزار و ۷۷۵ کیلومتر بوده است.
میانگین ۱۶ ساله سطح پوشش برفی این حوضه آبریز نیز ۱۱۲ هزار و ۴۸ کیلومتر بوده است.
سطح پوشش برفی حوضه آبریز دریای خزر هم در هفته سوم دیماه نسبت به مدت مشابه پارسال با رشد روبرو شده است.
پارسال سطح پوشش برفی این حوضه آبریز ۷۷هزار و ۸۱۸ کیلومتر بوده که امسال به رقم ۱۰۲ هزار و ۷۷ کیلومتر افزایشیافته است.
میانگین ۱۶ساله سطح پوشش برفی حوضه آبریز دریای خزر ۹۸ هزار و ۳۲۱ کیلومتر بوده است.
وضعیت سطح پوشش برفی حوضه آبریز خلیج فارس و دریای عمان هم با افزایش همراه شده است.

سطح پوشش برفی این حوضه آبریز در حالی در هفته سوم دی ماه امسال به رقم ۸۳ هزار و ۷۶۴ کیلومتر رسیده که این میزان در مدت مشابه پارسال عدد ۴۹ هزار و ۹۷۲ کیلومتر را نشان میدهد.
سطح پوشش برفی حوضه آبریز دریاچه ارومیه هم امسال با رشد اندک روبرو شده بهگونهای که در هفته سوم دیماه این سطح عدد ۵۰ هزار و ۱۳۵ کیلومتر را نشان میدهد.
پارسال سطح پوشش برفی حوضه آبریز دریاچه ارومیه ۴۱ هزار و ۹۹۳ کیلومتر بوده و این میزان در مدت ۱۶ساله اخیر عدد ۴۱ هزار و ۹۹۸ کیلومتر بوده است.
سطح پوشش برفی حوضه آبریز قره قوم در هفته سوم دیماه امسال نسبت به دوره مشابه پارسال با رشد روبرو شده است.
پارسال سطح پوشش برفی در حوضه آبریز قره قوم ۱۶ هزار و ۵۸۶ کیلومتر بود که امسال این میزان به رقم ۱۹ هزار و ۲۸۲ کیلومتر افزایشیافته و نیز نسبت به دوره ۱۵ساله اخیر نیز افزایش دارد.
وضعیت سطح پوشش برفی در حوضه آبریز مرزی شرق هم نسبت به پارسال با رشد همراه شده است و درحالیکه امسال این سطح ۱۴ هزار و ۴۴۳ کیلومتر است، پارسال ۲ هزار و ۴۴۶ کیلومتر بوده است.
میانگین ۱۵ساله سطح پوشش برفی حوضه آبریز مرزی شرق هم ۴ هزار و ۵۳۴ کیلومتر بوده که رشد را نشان میدهد.